Для служебного пользования: в Бронницах испытывают трофейную технику

«Козак-2» на испытаниях в Бронницах. Источник: статья «Ценные трофеи. Особенности конструкции трофейных бронированных автомобилей» в журнале «Материально-техническое обеспечение Вооруженных Сил Российской Федерации» №2, 2024.
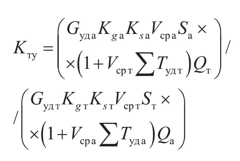
Коэффициент технического уровня
Издание «Материально-техническое обеспечение Вооруженных Сил Российской Федерации» Российского Министерства обороны поднимает в памяти легендарный журнал «Вестник бронетанковой техники». Профильный журнал советских танкистов был насыщен высокопрофессиональными статьями ведущих инженеров и исследователей. На страницах «Военного обозрения» регулярно появляются материалы, обобщающие экспериментальные данные, изложенные в этом некогда секретном издании. Особенный интерес представляют статьи, посвященные сравнительному анализу отечественной и зарубежной бронетехники.
В Советский Союз импортные машины в послевоенное время попадали с войн, которые вели капиталисты на Ближнем Востоке и в Юго-Восточной Азии. С началом специальной военной операции одним из актуальных вопросов для всех интересующихся бронетехникой стала сравнительная оценка боевых машин противника с отечественными аналогами. Только не в формате информационных выпусков «Первого канала» и программы «Военная приемка», которые смотрят на технику ВСУ исключительно через оптику превосходства российских машин.

«Варта» на испытаниях в Бронницах. Источник: статья «Ценные трофеи. Особенности конструкции трофейных бронированных автомобилей» в журнале «Материально-техническое обеспечение Вооруженных Сил Российской Федерации» №2, 2024.
При этом было понимание, что полигонные испытания трофейных машин в недрах Министерства обороны идут. Только вот неравнодушному читателю «Военного обозрения» эти отчеты могли попасться на глаза в лучшем случае лет через 10–15. Пока не снимут гриф секретности, а энтузиасты не опубликуют сканы соответствующих документов.
Но вернемся к упомянутому выше изданию «Материально-техническое обеспечение Вооруженных Сил Российской Федерации» (далее – МТО), на страницах которого в феврале 2024 года вышла статья «Ценные трофеи. Особенности конструкции трофейных бронированных автомобилей». Авторы – сотрудники 21 НИИИ ВАТ Минобороны России Денис Цирик, Евгений Сухоруков и Алевтина Новрузова.
21-й Научно-исследовательский испытательный институт военной автомобильной техники располагается в Бронницах и, как пишут сами военные, «осуществляет научно-исследовательские и испытательные работы в области создания, совершенствования, развития военной автомобильной техники и автотехнического обеспечения». С самого начала СВО здесь идет напряженная работа с трофейными образцами техники стран НАТО и доморощенными бронированными автомобилями Украины. Основной задачей является «оценка влияния тактико-технического потенциала и военно-технического уровня образцов военной техники». Если проще, то инженеры-испытатели решают, чем импортная техника лучше/хуже российской и что интересного можно взять для себя.
Серьезность материала, представленного в издании Минобороны России, подтверждают список используемой литературы, половина которого наполнена документами с ограничительными пометками «Для служебного пользования». Например, «Справка-доклад по результатам исследовательских испытаний защищенного автомобиля иностранного производства International MaxxPro Plus ин. 19791 ДСП. 2023 27 с.».

Общий вид защищенного автомобиля International MaxxPro Plus. Источник: статья «Ценные трофеи. Особенности конструкции трофейных бронированных автомобилей» в журнале «Материально-техническое обеспечение Вооруженных Сил Российской Федерации» №2, 2024.
Само собой, никто в журнале «МТО» полностью выкладывать результаты исследования не собирается – в свободный доступ попали тщательно выверенные выжимки справок-докладов. Из материалов, представленных сотрудниками 21-го НИИИ, известно, что объекты исследования – броневики «Варта», «Козак-2» и International MaxxPro Plus – попали в Бронницы в первые месяцы спецоперации. Первые два пришли из Мариуполя в марте, а «американец» из окрестностей Новодонецка несколько позже. Точной даты прибытия броневика нет, но в ВСУ броневики из США начали поступать с августа 2022 года. С трофейными машинами работали достаточно долго – до июля 2023 года. Не спеша и очень вдумчиво. Предлагаем оценить красоту формулы для определения коэффициента технического уровня военной автомобильной техники:

Источник: статья «Ценные трофеи. Особенности конструкции трофейных бронированных автомобилей» в журнале «Материально-техническое обеспечение Вооруженных Сил Российской Федерации» №2, 2024.
У двух сравниваемых военных автомобилей определяли удельную грузоподъемность, коэффициент использования грузоподъемности, среднюю скорость, удельные суммарные оперативные трудозатраты на все виды сервисных воздействий, ресурс по пробегу и суммарный эксплуатационный расход горючего за пробег до капитального ремонта. Сравнение трофейной техники проводилось с некими «отечественными аналогами». В статье этот секрет не раскрывается, но, предположительно, сравнивали с ВПК-3924 «Медведь» или с защищенным Урал-432009. Также в весовую категорию трофейных броневиков подходит новейшие для 2022 года «Ахмат» от «Ремдизеля» и ВПК-Урал.
Интересно, что «Варта» комплектуется ярославским дизелем ЯМЗ-65651, а сама машина построена на базе МАЗ-5434. Такое вот хитросплетение прежних торговых связей Украины, Белоруссии и России. «Козак-2» также имеет отдаленное отношение к украинской промышленности, хотя и произведен на Украине. Броневик построен на базе итальянского Iveco Eurocargo 150 E28 с родным дизелем Iveco Tector-6. Поставленный из Соединенных Штатов International MaxxPro Plus, хотя и снят с вооружения на родине, достаточно совершенен. Мотор здесь самый мощный в 375 л.с., а гидромеханический автомат Allison 3200SP добавляет удобства управления машиной. В то же время, двускатная ошиновка заднего моста не способствует проходимости на легендарном украинском черноземе.
Кто самый плохой
Забегая вперед, скажем, что ни один из исследованных броневиков по техническому уровню не смог превзойти собирательный образ отечественного аналога. Но по отдельным дисциплинам все-таки успехи у супостатов имеются. Например, «Варта» с «Козаком-2» грузоподъемнее, а International MaxxPro Plus превосходит российский аналог по динамике разгона до 60 км/ч, мощности мотора, рабочему объему и по показателям баллистической и противоминной защиты. Справедливости ради, американец был дополнительно одет в комплект брони типа Frag Kit 6 из алюминия и композитов. Этот элемент защиты был признан испытателями из Бронниц интересным и рекомендованным к воплощению на отечественных бронемашинах.
International вообще оказался гораздо более совершенной машиной, чем украинские броневики. В 21-м НИИИ отметили несколько технических решений: гидромеханическую коробку передач, подвесные противоминные сиденья, пневматический запор дверей, раздвижной люк стрелка и капот, открывающийся на 90 градусов вместе с боковым оперением. Украинские «Варта» и «Козак-2» смогли впечатлить лишь эргономическими приемами: бойницами в виде отдельного блока под бронестеклом в дверях и корпусе и опорно-поворотным кольцом с бронестеклами для установки вооружения по фронту и с боков. И еще понравились зеркала заднего вида. Негусто, прямо скажем.

Диаграмма сравнительного анализа ВТУ бронированного автомобиля «Варта» и отечественного аналога. Источник: статья «Ценные трофеи. Особенности конструкции трофейных бронированных автомобилей» в журнале «Материально-техническое обеспечение Вооруженных Сил Российской Федерации» №2, 2024.

Диаграмма сравнительного анализа ВТУ бронированного автомобиля «Козак-2» и отечественного аналога. Источник: статья «Ценные трофеи. Особенности конструкции трофейных бронированных автомобилей» в журнале «Материально-техническое обеспечение Вооруженных Сил Российской Федерации» №2, 2024.

Диаграмма сравнительного анализа ВТУ бронированного автомобиля International MaxxPro Plus и отечественного аналога. Источник: статья «Ценные трофеи. Особенности конструкции трофейных бронированных автомобилей» в журнале «Материально-техническое обеспечение Вооруженных Сил Российской Федерации» №2, 2024.
Хуже всех в испытательных дисциплинах в Бронницах выступил «Козак-2». Анализ результатов показал отставание машины от российского аналога по техническому уровню сразу на 22 процента. Хуже всего у «Козака-2» с защищенностью – отставание на 43 процента. Плохо у машины с таким экзотическим параметром, как показатель удельной нагруженности шин по объему. «Варта» показала себя немногим лучше. Машина уступает отечественным аналогам на 19 процентов, и снова главный провал связан с защищенностью – отставание на 33 процента. А еще бандеровский броневик «Варта» (как и его американский коллега) сравнительно легко переворачиваются. На это указывает малый угол поперечной статической устойчивости машин, определяемый на специальном стенде в Бронницах. Об американце, помимо всего, авторы написали следующее:
«Исходя из результатов оценки ВТУ, защищенный автомобиль International MaxxPro Plus уступает отечественным аналогам в частях: – подвижности – на 8%; – транспортной возможности – на 21%; – эксплуатационной технологичности и ремонтопригодности – на 10%».
Защищённость International примерно на уровне российских машин за счёт упоминаемого комплекта допбронирования.
Почин, как говорится, состоялся – первые материалы с инструментальным (а не эмоциональным) сравнением российской бронетехники с трофейной опубликованы. Далеко не в том объеме, который бы хотелось увидеть, но и на том спасибо. В России сейчас изучается не один десяток изделий ВСУ, сравнительный анализ которых позволит по-новому взглянуть на отечественные бронемашины. Как известно, только вооруженные конфликты позволяют довести до ума армейскую технику.
По материалам: «Ценные трофеи. Особенности конструкции трофейных бронированных автомобилей» в журнале «Материально-техническое обеспечение Вооруженных Сил Российской Федерации» №2, 2024. Авторы - Д. В. Цирик, Е. В. Сухоруков, А. С. Новрузова
- Евгений Федоров
Обсудим?
Смотрите также:
